 | Chew, W. C.: Waves and Fields in
Inhomogeneous Media. D. Van Nostrand Reinhold, New York, USA, 1990. |
 | Golub, G., J. M. Ortega
[1993], Scientific Computing: An Introduction With Parallel Computing,
Academic Press, San Diego, CA, USA. [amazon.de]
[amazon.com] |
 | Harrington, R. F.: Field Computation by
Moment Methods. IEEE Press, Piscataway, New Jersey, USA, 1993 (Nachdruck der
Originalausgabe: R. E. Krieger Pub. Company, Fla., USA, 1968). |
 | Kunz, K. S., R. J. Luebbers: Finite
Difference Time Domain Method for Electromagnetics. CRC Press, Boca Raton,
Florida, USA, 1993. |
 | Langenberg, K. J.: Skript zur
Vorlesung: Elektromagnetische Feldtheorie II
& III. FG Theoretische Elektrotechnik,
FB Elektrotechnik, Universität Kassel, Kassel, 1998. |
 | Marklein, R.: Numerische
Verfahren zur Modellierung von akustischen, elektromagnetischen, elastischen
und piezoelektrischen Wellenausbreitungsproblemen im Zeitbereich basierend auf
der Finiten Integrationstechnik. Shaker Verlag, Aachen, 1997. |
 | Peterson, A. F., S. L. Ray, R. Mittra:
Computational Methods for Electromagnetics. IEEE Press, Piscataway, New
Jersey, USA, 1998. |
 | Press, W. H., S. A. Teukolsky, W. T.
Vettering, B. P. Flannery: Numerical Recipes in C: The Art of Scientific
Computing. 2nd ed., Cambridge University Press, USA, 1994.
[online
version] [amazon.de]
[amazon.com] |
 | Saad, Y.: Iterative Methods for Sparse Linear
Systems. PWS Publishing Company, Boston, USA, 1996. |
 | Smith, G. D.: Numerical Solution of Partial
Differential Equations: Finite Difference Method. 3rd ed., Clarendon Press,
Oxford, UK, 1985. |
 | Strikwerda, J. C.: Finite Difference Schemes
and Partial Differential Equations. Wadsworth & Brooks/Cole, Mathematics
Series, Pacific Grove, California, USA, 1989. |
 | Sullivan, D. M.: Electromagnetic Simulation
Using the FDTD Method. IEEE Press, Piscataway, New Jersey, USA, 2000. |
 | Taflove, A.: Computational Electrodynamics:
The Finite-Difference Time-Domain Method. 2nd Ed., Artech House, Norwood,
Mass., USA, 2000. |
 | Volakis, J. L., A. Chatterjee, L. C. Kempel:
Finite Element Method for Electromagnetic. IEEE Press,
Piscataway, New Jersey, USA, 1998. |
 | Kunz, K. S., R. Luebbers [1993], The
Finite Difference Time Domain Method for Electromagnetics, CRC Press,
Boca Raton, FL, USA. [amazon.de] |
 |
Taflove, A.
[1995], Computational
Electrodynamics: The Finite-Difference Time-Domain Method, Artech House,
Boston, MA, USA. [amazon.de] |
 | Taflove, A., S. Hagness [2000],
Computational Electrodynamics: The Finite-Difference Time-Domain Method,
2nd ed., Artech House, Boston, MA, USA. [amazon.de] |
 | Taflove, A. (ed.) [1998], Advances in
Computational Electrodynamics: The Finite-Difference Time-Domain Method,
Artech House, Boston, MA, USA. [amazon.de] |
 | Sullivan, D. [2000], Electromagnetic
Simulation Using the FDTD Method, IEEE Press, New York, USA. [amazon.de] |
 | Jin, Jianming [1993], The Finite Element
Method in Electromagnetics,
John Wiley & Sons, New York.
[amazon.de]
[amazon.com] |
 | Kost, Arnulf [1994], Numerische Methoden
in der Berechnung elektromagnetischer Felder, Springer, Berlin. [amazon.de] |
 | Pelosi, G., R. Coccioli, S. Selleri [1998],
Quick Finite Elements for Electromagnetic Waves [homepage][amazon.de] |
 | Peterson, A. F., S. L. Ray, R. Mittra [1997],
Computational Methods for Electromagnetics, IEEE, Piscataway. [amazon.de] |
 | Reece, A. B., T. W. Preston [2000], Finite
Element Methods in Electrical Power Engineering, Oxford University Press,
Oxford. [amazon.de]
[amazon.com] |
 |
ANSYS/Emag (ANSYS) |
 |
ANSYS/Multiphysics (ANSYS) |
 |
CST Microwave Studio (FI Method,
CST - Computer Simulation
Technology)
 | CST MICROWAVE STUDIO™ is a specialist tool
for the fast and accurate simulation of high frequency problems.
Applications include the expanding areas of: Mobile Communication, Wireless
Design (bluetooth), Signal Integrity, and EMC.
Exceptionally user friendly, CST MWS quickly gives you an insight into the
EM behavior of your high frequency designs.
CST MWS offers three solvers: The Time Domain Solver, the Eigenmode Solver
and a Frequency Domain solver, as well as
options for the import of specific CAD files and the extraction of SPICE
parameters. |
|
 |
CST Design Studio (FI Method,
CST - Computer Simulation
Technology) |
 |
FIDELITY (FDTD,
Zeland Software)
 |
FIDELITY is a FDTD
(Finite-Difference Time-Domain) based Full-3D EM Simulator for modeling
microwave circuits,
components, and antenna, wireless/RF antennas, EMC and EMI structures, and
other high-speed and high-frequency circuitry. |
|
 |
Ensemble
(Method of Moments, ANSOFT)
 |
Ensemble is a planar method-of-moments (MoM)
electromagnetic simulation software package that computes S-parameters
and full-wave fields for microstrip and planar microwave structures
including filters, power dividers, and antennas |
|
 |
HFSS (Finite Elemente
Methode, ANSOFT)
 |
3D elektromagnetische Simulationssoftware für
HF- und drahtlose Übertragung, Verpackung und Optoelektronik |
|
 |
IE3D (Method of Moments, Zeland
Software)
 |
Planar and 3D Electromagnetic
Simulation and Optimization Package |
|
 |
MAFIA 4 (FI
Method, CST - Computer Simulation Technology) |
 |
SuperNEC
(Method of Moments, Unified Theory of Diffraction,
Poynting) |
 |
XFDTD (FDTD Method,
REMCOM Inc) |
 |
Vorlesung 1.ppt,
1 Page A4.pdf,
2 Pages A4.pdf (letzte
Aktualisierung 23.11.2005) |
 |
Vorlesung 2.ppt,
1 Page A4.pdf,
2 Pages A4.pdf (letzte
Aktualisierung 23.11.2005) |
 |
Vorlesung 3.ppt,
1 Page A4.pdf,
2 Pages A4.pdf (letzte
Aktualisierung 23.11.2005) |
 |
Vorlesung 4.ppt,
1 Page A4.pdf,
2 Pages A4.pdf (letzte
Aktualisierung 10.01.2006) |
 |
Vorlesung 5.ppt,
1 Page A4.pdf,
2 Pages A4.pdf (letzte
Aktualisierung 10.01.2006) |
 |
Vorlesung 6.ppt,
1 Page A4.pdf,
2 Pages A4.pdf (letzte
Aktualisierung 17.01.2006) |
 |
Vorlesung 7.ppt,
1 Page A4.pdf,
2 Pages A4.pdf (letzte
Aktualisierung 24.01.2006) |
 |
Vorlesung 8.ppt,
1 Page A4.pdf,
2 Pages A4.pdf (letzte
Aktualisierung 02.02.2006) |
 |
Vorlesung 9.ppt,
1 Page A4.pdf,
2 Pages A4.pdf (letzte
Aktualisierung 03.02.2006) |
 |
Vorlesung10.ppt,
1 Page A4.pdf,
2 Pages A4.pdf (letzte
Aktualisierung 02.03.2006) |
 |
Vorlesung11.ppt,
1 Page A4.pdf,
2 Pages A4.pdf (letzte
Aktualisierung 02.03.2006) |
 |
Vorlesung12.ppt,
1 Page A4.pdf,
2 Pages A4.pdf (letzte
Aktualisierung 02.03.2006) |
 | 1D FD Vakuum (MATLAB-Quellprogramm fd1dvac_rcn_poyn.m )
 |
Eingabeparameter für den ersten Lauf: Nz = 200, Nt = 500, Nz_Source = 100. |
|
 | 2D FD TM Vakuum (MATLAB-Quellprogramm fd2dtmvac_rcn_poyn.m )
 |
Eingabeparameter für den ersten Lauf: Nz = 200, Nt = 500, Nz_Source = 100. |
|
 | 1D FDTD Vakuum (C-Quelleprogramm fdtd1dvac.c,
MATLAB-Quellprogramm fdtd1dvac.m )
 |
MATLAB-Quellprogramm zur Visualisierung der Ausgabedateien des C-Programms (fig_1.m,
fig_2.m,
fig_3.m) |
 | Gnuplot-Eingabedatei to visualize the output
files of the C-Programms |
 | Input parameter for the first run:
Nz = 200, Nt = 500, Nz_Source = 100. |
 |
Instructions: The C
program fdtd1dvac.c runs the FDTD simulation and generates output files in
binary and ascii format of the Ex and Hy field component and the time
history of the excitation pulse. These files can be visualize with the
provided MATLAB files fig_1.m, fig_2.m, and fig_3.m. The MATLAB program runs
the FDTD simulation and visualizes the Ex and Hy field interactively. If you
don't have MATLAB, you can use e.g. gnuplot to plot Ex, Hy, and the pulse
contained in the ascii output files of the C program. |
 |
Figure 1,
generated with MATLAB program fig_1.m |
 |
Figure 2,
generated with MATLAB program fig_2.m |
 |
Figure 3,
generated with MATLAB program fig_3.m |
|
 | 1D FDTD Vakuum
mit absorbierenden
Rändern (C
source code fdtd1dvacab.c,
MATLAB
source code fdtd1dvacab.m )
 | MATLAB source code to visualize the output
files of the C program (fig_1.m,
fig_2.m,
fig_3.m) |
 | Gnuplot input files to visualize the output
files of the C program |
 | Input parameter for the first run:
Nz = 200, Nt = 500, Nz_Source = 100. |
 |
Instructions: The C
program fdtd1dvacab.c runs the FDTD simulation and generates output files in
binary and ascii format of the Ex and Hy field component and the time
history of the excitation pulse. These files can be visualize with the
provided MATLAB files fig_1.m, fig_2.m, and fig_3.m. The MATLAB program runs
the FDTD simulation and visualizes the Ex and Hy field interactively. If you
don't have MATLAB, you can use e.g. gnuplot to plot Ex, Hy, and the pulse
contained in the ascii output files of the C program. |
 |
Figure 1,
generated with MATLAB program fig_1.m |
 |
Figure 2,
generated with MATLAB program fig_2.m |
 |
Figure 3,
generated with MATLAB program fig_3.m |
|
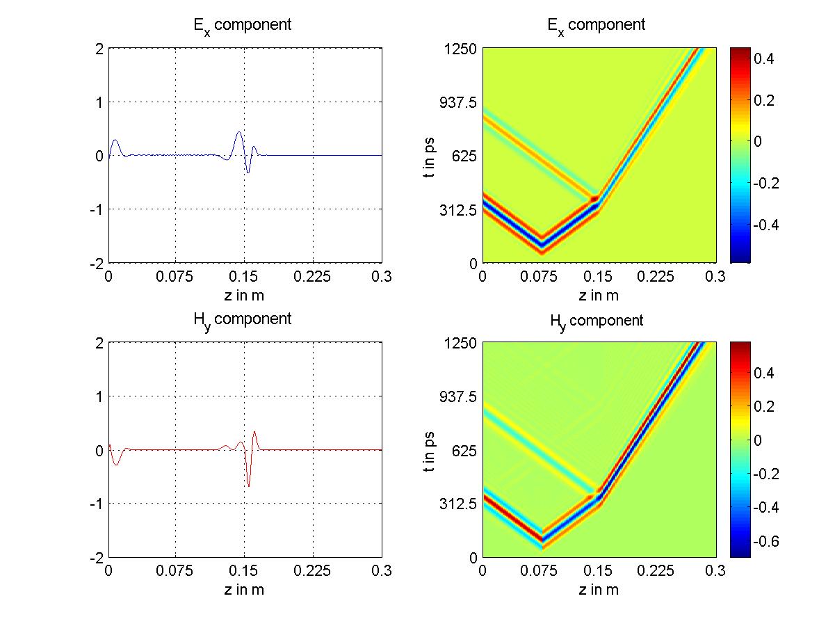
 | 1D FDTD Dielectric with Absorbing Boundaries (C
source code fdtd1ddieab.c,
MATLAB
source code fdtd1ddieab.m )
 | MATLAB source code to visualize the output
files of the C program (fig_1.m,
fig_2.m,
fig_3.m) |
 | Gnuplot input files to visualize the output
files of the C program |
 | Input parameter for the first run:
Nz = 200, Nt = 500, Nz_Source = 50. |
 |
Instructions: The C
program fdtd1ddieab.c runs the FDTD simulation and generates output files in
binary and ascii format of the Ex and Hy field component and the time
history of the excitation pulse. These files can be visualize with the
provided MATLAB files fig_1.m, fig_2.m, and fig_3.m. The MATLAB program runs
the FDTD simulation and visualizes the Ex and Hy field interactively. If you
don't have MATLAB, you can use e.g. gnuplot to plot Ex, Hy, and the pulse
contained in the ascii output files of the C program. |
 |
Figure 1,
generated with MATLAB program fig_1.m |
 |
Figure 2,
generated with MATLAB program fig_2.m |
 |
Figure 3,
generated with MATLAB program fig_3.m |
|